Общероссийский классификатор стандартов → ЗДРАВООХРАНЕНИЕ → Стоматология → Стоматологическое оборудование *Пленки для стоматологической радиографии см. 37.040.25 *Зубные щетки и зубные нити см. 97.170
Настоящий стандарт разработан в связи с необходимостью использования единой системы
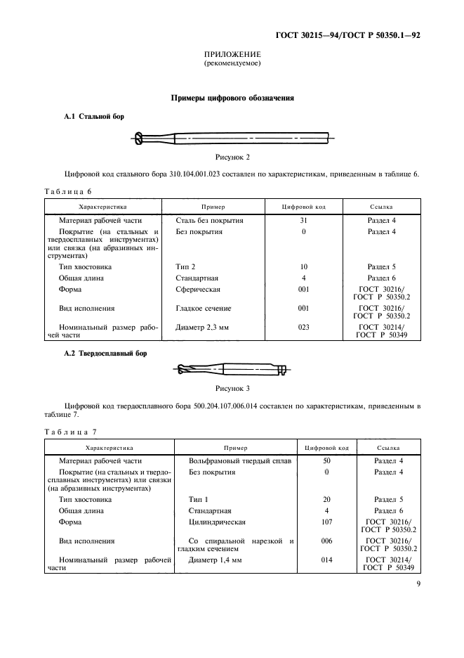
классификации и обозначения стоматологических инструментов в торговле, промышленности и стоматологической практике. Стандарт устанавливает общую пятнадцатицифровую систему обозначения для стоматологических вращающихся инструментов
| Название на англ.: | Dental rotary instruments. Number coding system. Part 1. General requirements |
| Тип документа: | стандарт |
| Статус документа: | утратил силу в РФ |
| Число страниц: | 15 |
| Дата актуализации текста: | 01.08.2013 |
| Дата актуализации описания: | 01.08.2013 |
| Дата издания: | 21.12.2000 |
| Дата введения в действие: | 30.06.1996 |
| Дата последнего изменения: | 20.06.2013 |
| Дата завершения срока действия: | 01.06.2013 |















Ведущий эксперт по сертификации с 10-летним опытом. Помогу решить любые вопросы по оформлению документов.
Для города действует скидка на оформление документов до -40%.
Узнать подробности