Общероссийский классификатор стандартов → ОХРАНА ОКРУЖАЮЩЕЙ СРЕДЫ, ЗАЩИТА ЧЕЛОВЕКА ОТ ВОЗДЕЙСТВИЯ ОКРУЖАЮЩЕЙ СРЕДЫ. БЕЗОПАСНОСТЬ → Безопасность механизмов *Эта группа включает стандарты только общего назначения
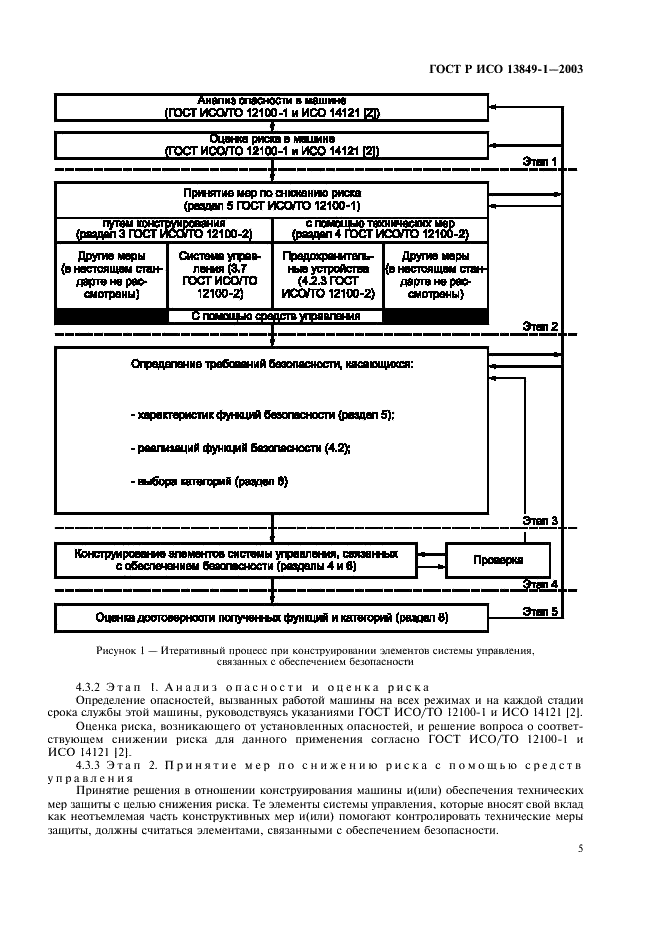
Настоящий стандарт устанавливает требования безопасности и общие принципы конструирования элементов систем управления, связанных с обеспечением безопасности.
Стандарт определяет категории элементов систем управления и описывает характеристики их функций безопасности, включая программируемые системы, для любого оборудования (машины) производственного и непроизводственного назначения и для предохранительных и (или) защитных устройств, относящихся к этому оборудованию (машине).
Настоящий стандарт не устанавливает, какие функции безопасности и какие категории должны применяться в каждом конкретном случае.
Стандарт распространяется на любые элементы систем управления, связанные с обеспечением безопасности, независимо от вида используемой энергии, например, электрической, гидравлической, пневматической, механической.
Настоящий стандарт применим также к элементам систем управления, которые используют для других технических целей
| Название на англ.: | Safety of machinery. Safety-related parts of control systems. Part 1. General principles for design |
| Тип документа: | стандарт |
| Статус документа: | действующий |
| Число страниц: | 32 |
| Дата актуализации текста: | 01.08.2013 |
| Дата актуализации описания: | 01.08.2013 |
| Дата издания: | 01.03.2004 |
| Дата введения в действие: | 01.01.2005 |
| Дата последнего изменения: | 22.05.2013 |
































Ведущий эксперт по сертификации с 10-летним опытом. Помогу решить любые вопросы по оформлению документов.
Для города действует скидка на оформление документов до -40%.
Узнать подробности