Общероссийский классификатор стандартов → ИНФОРМАЦИОННЫЕ ТЕХНОЛОГИИ. МАШИНЫ КОНТОРСКИЕ → Взаимосвязь открытых систем → Многоуровневые прикладные системы *Включая международные стандартизованные профили
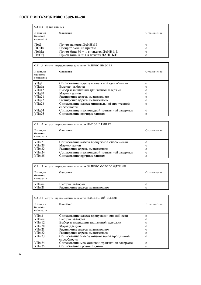
Настоящий стандарт распространяется на оконечные системы, работающие в функциональной среде взаимосвязи открытых систем (ВОС), и определяет комбинацию тех стандартов ВОС, которые в совокупности обеспечивают услуги транспортного уровня в режиме с установлением соединения при использовании услуг сетевого уровня в режиме с установлением соединения.
Настоящий стандарт определяет зависимые от типа подсети требования к оконечным системам, которые подсоединены к подсети “локальная вычислительная сеть“(ЛВС), работающей по протоколу управления логическим звеном (УЛЗ) типа 2 по ГОСТ 28907, безотносительно к типу физической среды
| Название на англ.: | Information technology. International standardized. profiles TB, TC, TD and TE. Connection-mode transport service over connection-mode network service. Part 10. LAN subnetwork-dependent, media-independent requirements |
| Тип документа: | стандарт |
| Статус документа: | действующий |
| Число страниц: | 32 |
| Дата актуализации текста: | 01.08.2013 |
| Дата актуализации описания: | 01.08.2013 |
| Дата издания: | 09.09.1998 |
| Дата введения в действие: | 01.01.1999 |
| Дата последнего изменения: | 22.05.2013 |
































Ведущий эксперт по сертификации с 10-летним опытом. Помогу решить любые вопросы по оформлению документов.
Для города действует скидка на оформление документов до -40%.
Узнать подробности