Общероссийский классификатор стандартов → ПОДЪЕМНО-ТРАНСПОРТНОЕ ОБОРУДОВАНИЕ → Грузовые тележки *Включая вилочные погрузчики,передвижные платформы и т.д. *Грузовики и прицепы см. 43.080.10
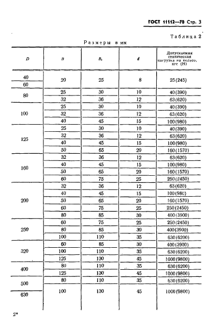
Настоящий стандарт распространяется на колеса с массивными резиновыми шинами безрельсового транспорта с допускаемой статической нагрузкой на колесо от 25 до 4000 кгс (от 250 до 39000 Н), предназначенные для передвижного оборудования.
Стандарт не распространяется на поворотные и неповоротные колеса со стержнем и площадкой, предназначенные для медицинского оборудования
| Название на англ.: | Wheels with solid rubber tyres of railless transport. Types. Basic parameters and dimensions |
| Тип документа: | стандарт |
| Статус документа: | действующий |
| Число страниц: | 11 |
| Дата актуализации текста: | 01.08.2013 |
| Дата актуализации описания: | 01.08.2013 |
| Дата издания: | 01.11.1985 |
| Дата введения в действие: | 01.01.1971 |
| Дата последнего изменения: | 22.05.2013 |
| Переиздание: | переиздание с изм. 1 |
| Взамен: | ГОСТ 11112-64 |











Ведущий эксперт по сертификации с 10-летним опытом. Помогу решить любые вопросы по оформлению документов.
Для города действует скидка на оформление документов до -40%.
Узнать подробности