Общероссийский классификатор стандартов → ПОДЪЕМНО-ТРАНСПОРТНОЕ ОБОРУДОВАНИЕ → Землеройные машины *Включая экскаваторы, погрузчики, грейдеры и т.д.
Настоящий стандарт распространяется на дорожные самоходные катки, предназначенные для уплотнения дорожных оснований и дорожных покрытий
| Название на англ.: | Self-propelled road rollers. General specifications |
| Тип документа: | стандарт |
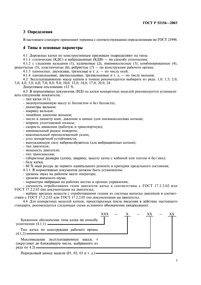
| Статус документа: | действующий |
| Число страниц: | 17 |
| Дата актуализации текста: | 01.08.2013 |
| Дата актуализации описания: | 01.08.2013 |
| Дата издания: | 03.02.2004 |
| Дата введения в действие: | 01.01.2005 |
| Дата последнего изменения: | 22.05.2013 |

















Ведущий эксперт по сертификации с 10-летним опытом. Помогу решить любые вопросы по оформлению документов.
Для города действует скидка на оформление документов до -40%.
Узнать подробности